/share/719 | /share/719 | null
Home
Favorites
My Account
Menu
Common Core Sheets
Mathematik
Rechtschreibung
Erstellen- a-Überprüfung
create-a-Test
create-a-Blatt
einen Absatz zu verbessern
Anmeldung
x
Lehrerpanel
>
My Account
Distance Learning Assignments
Meine Klasse
Optionen
Mathematik
>
Addition
Subtraktion
Multiplikation
Division
Rechnen mit Gleichungen
Winkel
Fläche & Umfang
Gleichungen
Balkendiagramme
Kastendiagramme
Volumen
Formen umwandeln
Zählen
Dezimalzahlen
Division
Rechenübungen
Zahlenbeziehungen
Faktoren
Brüche
Koordinatensystem
Linien
Darstellung von Linien
Statistik-Grundlagen
Maßeinheiten
Geld
Multiplikation
Mehrstufige Aufgaben
Negative Zahlen
Reihenfolge der Rechenarten
Muster & Funktionsmaschinen
Prozent
Wahrscheinlichkeit
Rechengesetze
Verhältnisse
Runden
Figuren
Statistik
Subtraktion
Strichlisten
Temperatur
Zeit
Wert & Stellenwert
Variable
Gewicht
Venn Diagrams
Volumen
Rechenübungen
Lehrerpanel
>
My Account
Distance Learning Assignments
Meine Klasse
Optionen
Sprachen
>
spanish
german
russian
italian
vietnamese
french
english
Spenden Sie
>
Patreon
Paypal
Andere Dinge
>
Kontakt & Kommentare
Wie die Arbeitsblätter zu benutzen sind
Kontakt & Kommentare
Home
Arbeitsblätter für Mathematik
Arbeitsblätter zur negativen Zahlen
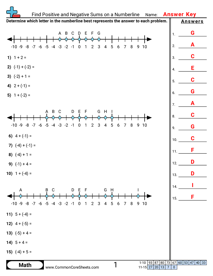
Abstand mit einem Zahlenstrahl darstellen
Like
Werbung
Abstand mit einem Zahlenstrahl darstellen
Worksheet
Eins nach dem anderen
Flash-Karten
Fernunterricht
Neues Blatt erstellen
Tags
kurzer Satz
visuell
Zahlenstrahl
Addition
Standards
7ns1b
Related Worksheets
Werbung