Arbeitsblätter zur Darstellung von Linien
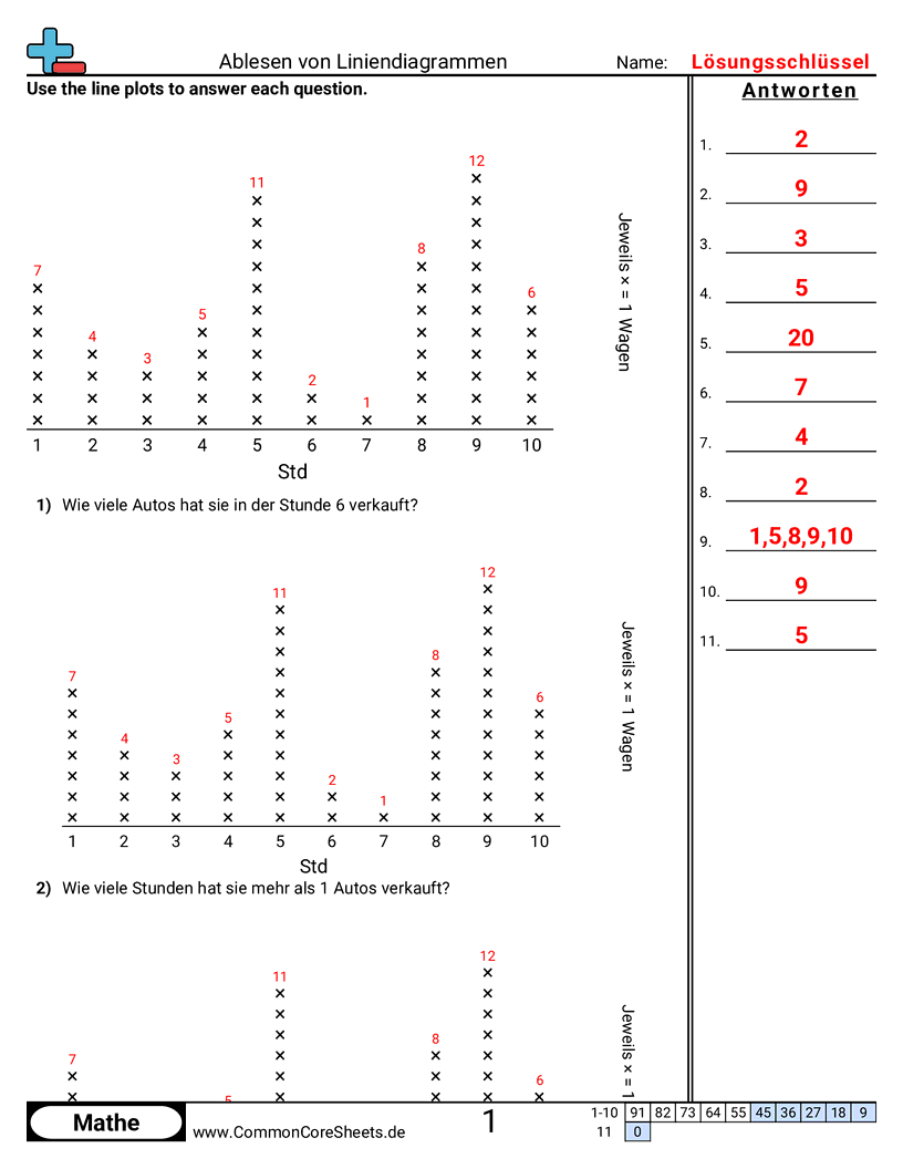
Kostenlose Arbeitsblätter zu Punktdiagrammen (Line Plots) mit Lösungsschlüssel. Keine Anmeldung oder Konto erforderlich. Von einfachen Punktdiagrammen bis zu fortgeschritteneren Themen wie Doppel-Punktdiagrammen und fehlenden Daten – wir haben alles dabei. Eine Notenspalte und ein schneller Notenschlüssel-Generator machen das Bewerten kinderleicht, und angepasste Seiten helfen Lernenden mit niedrigerem Niveau oder wenn ein Thema gerade erst eingeführt wird. Ideal für Lehrkräfte oder fürs Homeschooling.
Blätter nach Problemtyp durchsuchen
Eins nach dem anderen
Flash-Karten
Fernunterricht
Neues Blatt erstellen
Wählen Sie ein Arbeitsblatt
>
Version 1
Version 2
Version 3
Version 4
Version 5
Version 6
Version 7
Version 8
Version 9
Version 10
Auswahl aller
Eins nach dem anderen
Flash-Karten
Fernunterricht
Neues Blatt erstellen
Wählen Sie ein Arbeitsblatt
>
Version 1
Version 2
Version 3
Version 4
Version 5
Version 6
Version 7
Version 8
Version 9
Version 10
Auswahl aller
Eins nach dem anderen
Flash-Karten
Fernunterricht
Neues Blatt erstellen
Wählen Sie ein Arbeitsblatt
>
Version 1
Version 2
Version 3
Version 4
Version 5
Version 6
Version 7
Version 8
Version 9
Version 10
Auswahl aller
Eins nach dem anderen
Flash-Karten
Fernunterricht
Neues Blatt erstellen
Wählen Sie ein Arbeitsblatt
>
Version 1
Version 2
Version 3
Version 4
Version 5
Version 6
Version 7
Version 8
Version 9
Version 10
Auswahl aller
Eins nach dem anderen
Flash-Karten
Fernunterricht
Neues Blatt erstellen
Wählen Sie ein Arbeitsblatt
>
Version 1
Version 2
Version 3
Version 4
Version 5
Version 6
Version 7
Version 8
Version 9
Version 10
Auswahl aller